Thư viện kết cấu gửi tới các bạn tính toán lực dọc quy đổi có kể đến cốt đai.
1. Lý thuyết tính
Tính toán lực dọc quy đổi có kể đến cốt đai được thực hiện theo các bước sau:
– Tính toán hệ số αωd
ωwd là tỷ số thể tích cơ học áp dụng trong phạm vi các vùng tới hạn có cốt đai hạn chế biến dạng được tính theo biểu thức sau:

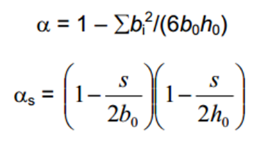
α là hệ số hiệu ứng hạn chế biến dạng, α = αnαs,
a) với tiết diện ngang hình chữ nhật:

trong đó:
n là tổng số thanh thép dọc được cố định theo phương nằm ngang bằng thép đai kín hoặc đai móc;
bi là khoảng cách giữa các thanh thép liền kề.
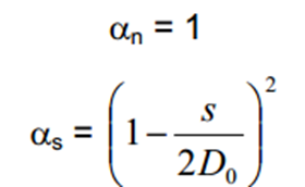
b) Với các tiết diện ngang hình tròn có cốt đai và đường kính của lõi có cốt đai hạn chế biến dạng D0 (tính tới đường tâm của cốt đai):

– Tính toán lại cường độ của bê tông khi bị hạn chế biến dạng:


Với ωwd tương đương σ2/fck
– Tính toán lực dọc quy đổi theo cường độ mới
vd = N/(A.fcd,c)
2. File tính
Các bạn vui lòng xem file PDF mẫu “Lực dọc quy đổi có kể tới cốt đai” tại đây:
File tính “136. Lực dọc quy đổi có kể tới cốt đai” các bạn tải tại đây:
