Tính dầm cầu trục (5575:2024)

Thư viện kết cấu gửi tới các bạn bài tính toán dầm cầu trục theo TCVN 5575:2024.

I. Lý thuyết tính.

Khi tính toán dầm cầu trục, chúng ta kiểm tra các điều kiện sau:

1. Tính toán độ bền khi có tác dụng của các moment

Độ bền của dầm được kiểm tra theo công thức sau:

trong đó:

     Mx, My là moment tính toán theo phương x, y;

     B là bimoment;

     ω là tọa độ quạt;

     x và y là các khoảng cách từ các trục chính đến điểm đang xét của tiết diện;

     Ixn, Iyn là moment quán tính của tiết diện theo phương x, y;

     Iω là moment quán tính quạt của tiết diện;

     fyd là cường độ chịu kéo, nén, uốn tính toán của thép theo giới hạn chảy;

     γc là hệ số điều kiện làm việc.

2. Tính toán độ bền khi có tác dụng của lực cắt

Khả năng chịu cắt của dầm được kiểm tra theo công thức sau:

trong đó:

     V là lực cắt trong mặt phẳng bản bụng của tiết diện tính toán;

     S là mômen tĩnh đối với trục trung hòa của phần tiết diện nguyên ở bên trên vị trí tính ứng suất;

     I là mômen quán tính của tiết diện nguyên;

     tw là bề dày bản bụng;

     γc là hệ số điều kiện làm việc;

     fv là cường độ tính toán chịu cắt của thép.

3. Tính toán độ bền của bản bụng dầm khi có tác dụng của ứng suất tập trung

Tính toán độ bền của bản bụng dầm khi có tác dụng của ứng suất tập trung, cần được thực hiện theo công thức:

trong đó:

     F là tải trọng (lực) tập trung tính toán;

     Lef là chiều dài phân bố quy ước tải trọng

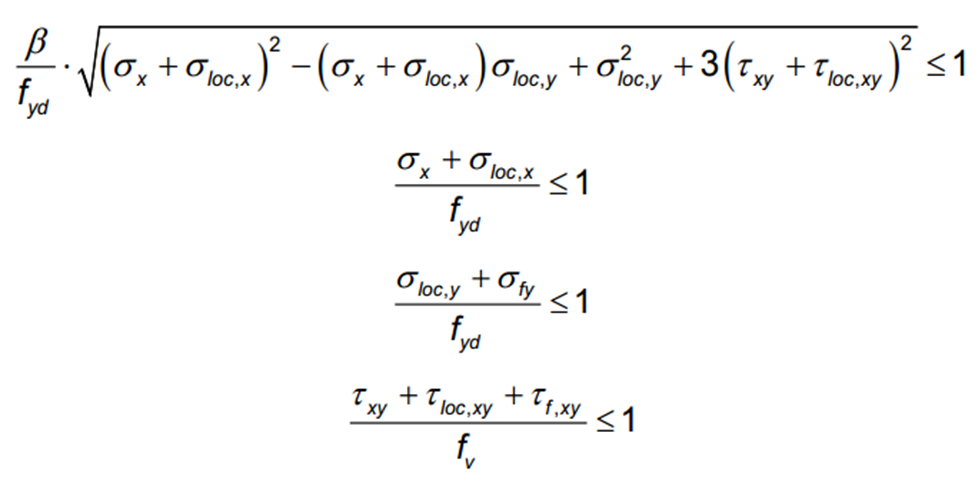
4. Kiểm tra khả năng tác dụng đồng thời của moment và lực cắt trong bản bụng dầm

Tính toán độ bền bản bụng của dầm đỡ cầu trục (trừ dầm đỡ cầu trục cho cầu trục thuộc nhóm chế độ làm việc A7 (trong các xưởng sản xuất kim loại) và A8) cần được thực hiện theo các công thức sau:

trong đó:

     σx là ứng suất pháp trong mặt phẳng trung bình của bản bụng, song song với trục

dọc của dầm;

     σy là ứng suất pháp trong mặt phẳng trung bình của bản bụng, vuông góc với trục

dọc của dầm

     τxy là ứng suất tiếp trong bản bụng

Khi tính toán độ bền bản bụng của dầm đỡ cầu trục làm bằng thép có giới hạn chảy không lớn hơn 440 MPa đối với cầu trục thuộc nhóm chế độ làm việc A7 (trong các xưởng sản xuất kim loại) và A8, các điều kiện sau phải được thỏa mãn:

5. Kiểm tra ổn định tổng thể

Tính toán ổn định tổng thể được thực hiện theo công thức theo công thức:

trong đó:

     φb là hệ số ổn định khi uốn;

     Wcx là mô men chống uốn của tiết diện đối với trục x–x, tính cho thớ chịu nén nhiều nhất của bản cánh chịu nén

     Wcy là mô men chống uốn của tiết diện đối với trục y–y trùng với mặt phẳng uốn, tính cho thớ chịu nén nhiều nhất của bản cánh chịu nén;

     Wcω là mô men chống uốn quạt của tiết diện, tính cho thớ chịu nén nhiều nhất của bản cánh chịu nén;

6. Kiểm tra ổn định bản bụng

Ta có công thức tính độ mảnh quy ước:

Dầm đảm bảo ổn định bản bụng khi giá trị độ mảnh quy ước không vượt giá trị sau:

     2,5 – khi có ứng suất cục bộ đối với dầm có đường hàn cánh hai bên.

7. Kiểm tra ổn định bản cánh

Dầm đảm bảo ổn định bản cánh khi giá trị độ mảnh quy ước không vượt quá độ mảnh quy ước giới hạn.

Độ mảnh quy ước được tính như sau:

Độ mảnh quy ước giới hạn được tính như sau:

II. File tính

Các bạn vui lòng tải file PDF mẫu “Tính toán dầm cầu trục (5575:2024)” tại đây

Download

File tính excel đầy đủ “99. Tính toán dầm cầu trục (5575:2024)”, các bạn vui lòng tải tại đây:

Download

KEYWORD: Tính toán dầm cầu trục,5575:2024,