Thư viện kết cấu gửi tới các bạn bài tính toán dầm thép chữ I cấp 1 chịu uốn theo TCVN 5575:2024.
I. Lý thuyết tính.
Khi tính toán dầm thép, chúng ta kiểm tra các điều kiện sau:
1. Kiểm tra khả năng chịu uốn
Độ bền của dầm được kiểm tra theo công thức sau:

trong đó:
Mx, My là moment tính toán theo phương x, y;
B là bimoment;
ω là tọa độ quạt;
x và y là các khoảng cách từ các trục chính đến điểm đang xét của tiết diện;
Ixn, Iyn là moment quán tính của tiết diện theo phương x, y;
Iω là moment quán tính quạt của tiết diện;
fyd là cường độ chịu kéo, nén, uốn tính toán của thép theo giới hạn chảy;
γc là hệ số điều kiện làm việc.
2. Kiểm tra khả năng chịu cắt
Khả năng chịu cắt của dầm được kiểm tra theo công thức sau:
trong đó:

V là lực cắt trong mặt phẳng bản bụng của tiết diện tính toán;
S là mômen tĩnh đối với trục trung hòa của phần tiết diện nguyên ở bên trên vị trí tính ứng suất;
I là mômen quán tính của tiết diện nguyên;
tw là bề dày bản bụng;
γc là hệ số điều kiện làm việc;
fv là cường độ tính toán chịu cắt của thép.
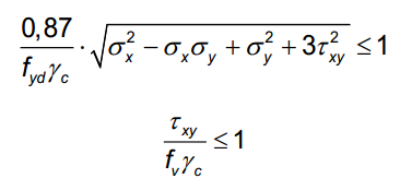
3. Kiểm tra khả năng chịu uốn cắt đồng thời
Khả năng chịu tác dụng đồng thời của mô men và lực cắt trong bản bụng dầm được kiểm tra theo các công thức sau

trong đó:
σx là ứng suất pháp trong mặt phẳng trung bình của bản bụng, song song với trục
dọc của dầm;
σy là ứng suất pháp trong mặt phẳng trung bình của bản bụng, vuông góc với trục
dọc của dầm
τxy là ứng suất tiếp trong bản bụng
4. Kiểm tra ổn định tổng thể
Tính toán ổn định tổng thể được thực hiện theo công thức theo công thức:

trong đó:
φb là hệ số ổn định khi uốn;
Wcx là mô men chống uốn của tiết diện đối với trục x–x, tính cho thớ chịu nén nhiều nhất của bản cánh chịu nén
Wcy là mô men chống uốn của tiết diện đối với trục y–y trùng với mặt phẳng uốn, tính cho thớ chịu nén nhiều nhất của bản cánh chịu nén;
Wcω là mô men chống uốn quạt của tiết diện, tính cho thớ chịu nén nhiều nhất của bản cánh chịu nén;
5. Kiểm tra ổn định bản bụng
Ta có công thức tính độ mảnh quy ước:

Dầm đảm bảo ổn định bản bụng khi giá trị độ mảnh quy ước không vượt giá trị sau:
3,5 – khi không có ứng suất cục bộ đối với dầm có đường hàn cánh hai bên;
3,2 – khi không có ứng suất cục bộ đối với dầm có đường hàn cánh một bên;
2,5 – khi có ứng suất cục bộ đối với dầm có đường hàn cánh hai bên.
6. Kiểm tra ổn định bản cánh
Dầm đảm bảo ổn định bản cánh khi giá trị độ mảnh quy ước không vượt quá độ mảnh quy ước giới hạn.
Độ mảnh quy ước được tính như sau:

Độ mảnh quy ước giới hạn được tính như sau:

II. File tính
Các bạn vui lòng tải file PDF mẫu “Tính toán dầm thép I cấp 1 chịu uốn (5575:2024)” tại đây
File tính excel đầy đủ “62. Tính toán dầm thép I cấp 1 chịu uốn (5575:2024)”, các bạn vui lòng tải tại đây:
