Thư viện kết cấu gửi tới các bạn bài tính toán dầm thép chữ I cấp 2, cấp 3 chịu uốn theo TCVN 5575:2024.
I. Lý thuyết tính.
Khi tính toán dầm thép, chúng ta kiểm tra các điều kiện sau:
1. Kiểm tra độ bền
Tính toán độ bền của các dầm không liên tục cấp 2 và cấp 3 có tiết diện chữ I và tiết diện hộp làm bằng thép có cường độ tiêu chuẩn fy <= 440 MPa khi tuân thủ các yêu cầu trong 8.4.6, 8.5.8, 8.5.9, 8.5.18 và khi ứng suất tiếp τx = Vx/Aw <= 0,9fv (trừ tiết diện gối tựa) cần được thực hiện theo các công thức:
– Khi uốn trong mặt phẳng có độ cứng lớn nhất (Ix > Iy):

– Khi uốn trong hai mặt phẳng chính và ứng suất τy <= 0,5fv

– Khi uốn trong mặt phẳng độ cứng lớn nhất (Ix > Iy) và xoắn kiềm chế tiết diện chữ I đối xứng:

2. Kiểm tra khả năng chịu cắt
Khả năng chịu cắt của dầm được kiểm tra theo công thức sau:

trong đó:
V là lực cắt trong mặt phẳng bản bụng của tiết diện tính toán;
S là mômen tĩnh đối với trục trung hòa của phần tiết diện nguyên ở bên trên vị trí tính ứng suất;
I là mômen quán tính của tiết diện nguyên;
tw là bề dày bản bụng;
γc là hệ số điều kiện làm việc;
fv là cường độ tính toán chịu cắt của thép.
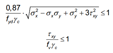
3. Kiểm tra khả năng chịu uốn cắt đồng thời
Khả năng chịu tác dụng đồng thời của mô men và lực cắt trong bản bụng dầm được kiểm tra theo các công thức sau

trong đó:
σx là ứng suất pháp trong mặt phẳng trung bình của bản bụng, song song với trục
dọc của dầm;
σy là ứng suất pháp trong mặt phẳng trung bình của bản bụng, vuông góc với trục
dọc của dầm
τxy là ứng suất tiếp trong bản bụng
4. Kiểm tra ổn định tổng thể
Ổn định của các dầm cấp 2 và cấp 3 được coi là đảm bảo khi đáp ứng được các yêu cầu 8.4.4a) hoặc 8.4.4b) với điều kiện nhân giá trị [λub] đã được xác định theo các công thức trong Bảng 12 với hệ số

Bảng 12 xác định [λub] như sau:

5. Kiểm tra ổn định bản bụng
Ổn định bản bụng của các dầm cấp 2 và cấp 3 được coi là đảm bảo khi thỏa mãn các điều kiện:

6. Kiểm tra ổn định bản cánh
Ổn định của cánh chịu nén được coi là đảm bảo nếu độ mảnh quy ước của phần vươn cánh chịu nén hoặc bản cánh chịu nén của các dầm cấp 2 và cấp 3 làm bằng một loại thép không vượt quá các giá trị giới hạn.
Độ mảnh quy ước được tính như sau:

Độ mảnh quy ước giới hạn được tính như sau:

II. File tính
Các bạn vui lòng tải file PDF mẫu “Tính toán dầm thép I cấp 2, cấp 3 chịu uốn (5575:2024)” tại đây
File tính excel đầy đủ “78. Tính toán dầm thép I cấp 2, cấp 3 chịu uốn (5575:2024)”, các bạn vui lòng tải tại đây:
