Thư viện kết cấu gửi tới các bạn bài tính móng băng

I. Lý thuyết
1. Tính toán áp lực lên nền ở đáy móng
Khi tính toán áp lực tác dụng lên nền, các bạn có thể tính theo mục 4.6.9 – Tiêu chuẩn TCVN 9362:2012.
Công thức tính toán áp lực nền như sau:

Trong đó:
m1 và m2 lần lượt là hệ số điều kiện làm việc của nền đất và hệ số điều kiện làm việc của nhà hoặc công trình có tác dụng qua lại với nền;
k là hệ số tin cậy;
A, B và D là các hệ số không thứ nguyên phụ thuộc vào trị tính toán của góc mà sát trong φII
b là cạnh bé (bề rộng) của đáy móng, tính bằng mét (m);
h là chiều sâu đặt móng so với cốt qui định bị bạt đi hoặc đắp thêm, tính bằng mét (m);
φII’ là trị trung bình (theo từng lớp) của trọng lượng thể tích đất nằm phía trên độ sâu đặt móng, tinh bằng kilôniutơn trên mét khối (kN/m3);
φII có ý nghĩa như trên, nhưng của đất nằm phía dưới đáy móng, tính bằng kilôniutơn trên mét khối (kN/m3);
cII, là trị tính toán của lực dính đơn vị của đất nằm trực tiếp dưới đáy móng, tính bằng kilôpascan (kPa);
h0 = h – htd, là chiều sâu đến nền tầng hầm tính bằng mét (m). Khi không có tầng hầm thi lấy h0 = 0;
2. Tính toán độ lún
Độ lún của móng, các bạn có thể tính theo phụ lục C – tiêu chuẩn TCVN 9362:2012.
Độ lún của nền móng có dùng sơ đồ tính toán dưới dạng bán không gian biến dạng đàn hồi tuyến tính xác định bằng phương pháp cộng lún các lớp trong phạm vi chiều dày chịu nén của nền.
a. Phương pháp tính
Phương pháp cộng lớp cho phép xác định độ lún chẳng những của móng riêng rẽ mà cả đối với móng mà tải trọng do các móng lân cận truyền tới gây ảnh hưởng đến độ lún của nó. Trong cả hai trường hợp, áp lực thêm xác định theo phương thẳng đứng đi qua trung tâm đáy móng và để tính toán độ lún của các lớp nằm ngang trong tầng chịu nén của nền.
Khi tính toán độ lún của các móng riêng rẽ bằng phương pháp cộng lớp nên chú ý đến sơ đồ phân bố áp lực thẳng đứng trong đất nền vẽ trên hình sau:

Ở đây nên dùng các ký hiệu sau:
h là độ sâu đặt móng kể từ cao trình quy hoạch (đắp thêm vào hoặc san ủi bớt đi);
h’ là độ sâu đặt móng kể từ cao trình bề mặt địa hình thiên nhiên;
p là áp lực thực tế trung bình dưới đáy móng;
pđ là áp lực thiên nhiên trong đất tại đáy móng do trọng lượng của đất phía trên (đến cao trình địa hình thiên nhiên) gây ra;
pđz là áp lực thiên nhiên ở độ sâu z dưới đáy móng (hay ở độ sâu h’+z cách bề mặt địa hình thiên nhiên);
po = p – pđ là áp lực thêm thẳng đứng trong đất dưới đáy móng;
poz là áp lực thêm trong đất ở độ sâu z kể từ đáy móng, xác định theo công thức:
poz = α x (p – pđ) = α x p0
α là hệ số tính đến sự thay đổi theo độ sâu của áp lực thêm trong đất
Dừng tính lún tại điểm có pđz >= 10 poz. Với đất cát và đất sét cho phép tại vị trí pđz >= 5 poz.
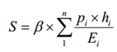
b. Công thức tính toán độ lún
Độ lún nền móng theo phương pháp cộng lớp xác định (có hoặc không kể đến ảnh hưởng của các móng lân cận) theo công thức:

trong đó:
S là độ lún cuối cùng (ổn định) của móng;
n là số lớp chia theo độ sâu của tầng chịu nén của nền.
hi là chiều dày của lớp đất thứ i
Ei là mô đun biến dạng của lớp đất thứ i
pi là áp lực thêm trung bình trong lớp đất thứ i
β là hệ số không thử nguyên bằng 0,8.
Độ lún giới hạn Sgh các bạn có thể lấy theo bảng sau:

II. File tính
Các bạn xem file tính mẫu tại đây:
File tính excel đầy đủ “80. Tính toán móng băng”, các bạn vui lòng tải tại đây:
