Thư viện kết cấu gửi tới các bạn tính toán tải động đất bằng phổ thiết kế dùng cho phân tích đàn hồi, lực động đất tác dụng theo phương ngang.
1. Phương pháp tính tải trọng động đất
1.1. Xác định hệ số ứng xử đối với các tác động động đất theo phương nằm ngang
Giá trị giới hạn trên của hệ số ứng xử q, để tính đến khả năng làm tiêu tán năng lượng, phải được tính cho từng phương khi thiết kế như sau:
q = q0 x kw ≥ 1,5
trong đó:
q0 là giá trị cơ bản của hệ số ứng xử, phụ thuộc vào loại hệ kết cấu và tính đều đặn của nó theo mặt đứng
kw là hệ số phản ánh dạng phá hoại phổ biến trong hệ kết cấu có tường.
Với loại nhà mà có sự đều đặn theo mặt đứng, giá trị cơ bản q0 cho các loại kết cấu khác nhau được cho trong bảng sau:

Với loại nhà không đều đặn theo mặt đứng, giá trị q0 cần được giảm xuống 20%
α1 là giá trị để nhân vào giá trị thiết kế của tác động đất theo phương nằm ngang để trong mọi cấu kiện của kết cấu sẽ đạt giới hạn độ bền chịu uốn trước tiên, trong khi tất cả các tác động khác vẫn không đổi;
αu là giá trị để nhân vào giá trị thiết kế của tác động đất theo phương nằm ngang sẽ làm cho khớp dẻo hình thành trong một loạt tiết diện đủ để dẫn đến sự mất ổn định tổng thể kết cấu, trong khi tất cả các giá trị thiết kế của các tác động khác vẫn không đổi. Hệ số αu có thể thu được từ phân tích phi tuyến tĩnh tổng thể.
Với loại nhà không có tính đều đặn trong mặt bằng, khi không tính toán được giá trị của αu/α1 có thể sử dụng giá trị xấp xỉ của nó bằng trị số trung bình của (a) bằng 1,0 và của (b) đã cho trong mục (5).
Tiêu chí về tính đều đặn theo mặt bằng và tính đều đặn theo mặt đứng các bạn tham khảo mục 4.2.3.3, 4.2.3.3 trong tiêu chuẩn.
1.2. Gia tốc nền thiết kế
Gia tốc nền thiết kế ag trên nền loại A sẽ bằng agR nhân với hệ số tầm quan trọng γI (tức là ag = γI x agR).
Mức độ và hệ số tầm quan trọng lấy theo phụ lục E trong tiêu chuẩn.
Giá trị đỉnh gia tốc nền tham chiếu trên nền loại A – agR lấy theo bản đồ phân vùng gia tốc nền lãnh thổ Việt Nam.
* Lưu ý: Từ tháng 3/2023, giá trị đỉnh gia tốc nền tham chiếu trên nền loại A – agR lấy theo QC 02/2022. Các bạn có thể tham khảo thêm Những điểm mới trong quy chuẩn 02/2022.
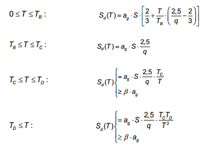
1.3. Phổ phản ứng theo phương ngang
Với các thành phần nằm ngang của tác động động đất, phổ phản ứng đàn hồi Sd(T) được xác định bằng các công thức sau

trong đó:
Sd(T) là phổ thiết kế;
q là hệ số ứng xử;
TB là giới hạn dưới của chu kỳ, ứng với đoạn nằm ngang của phổ phản ứng gia tốc;
TC là giới hạn trên của chu kỳ, ứng với đoạn nằm ngang của phổ phản ứng gia tốc;
TD là giá trị xác định điểm bắt đầu của phần phản ứng dịch chuyển không đổi trong phổ phản ứng;
S là hệ số nền;
β là hệ số ứng với cận dưới của phổ thiết kế theo phương ngang.
Giá trị của chu kỳ TB, TC và TD và của hệ số nền S mô tả dạng phổ phản ứng đàn hồi phụ thuộc vào loại nền đất lấy theo bảng dưới đây.

*Update theo tiêu chuẩn 9386:2025:
Trong tiêu chuẩn 9386:2025, chúng ta có những thay đổi như sau:
– Thay đổi hệ số tầm quan trọng:
Giờ đây hệ số tầm quan trọng sẽ phụ thuộc vào cấp hậu quả (cấp hậu quả lấy theo QC03), không phụ thuộc vào số tầng như cũ.

– Giá trị của các tham số mô tả phổ phản ứng đàn hồi được phân thành 2 loại phụ thuộc vào vị trí của công trình.

*Tạo phổ trong Etabs:
Chúng ta vẫn có thể tạo phổ động đất như trước đây:

– Ground Acceleration: Nhập gia tốc nền
– Spetrum type: Nhập loại phổ phản ứng đàn hồi là loại 1 hay loại 2.
– Ground Type: Loại nền đất
– Behavior Factor: Hệ số ứng xử
2. File tính mẫu
Để rõ hơn chi tiết cách tính động đất, Thuvienketcau gửi bạn file mẫu tính tải trọng động đất để các bạn tham khảo.
Tham khảo:
Tính toán tải trọng thẳng đứng trong thiết kế kết cấu
Xác định tải trọng gió trong thiết kế kết cấu
——————————————————————————
Tham khảo một số file tính khác:
