Phổ phản ứng đàn hồi theo phương ngang của tải động đất

Thư viện kết cấu gửi tới các bạn phổ phản ứng đàn hồi theo phương ngang của tải động đất theo TCVN 9386:2025.

1. Lý thuyết tính.

Phổ phản ứng đàn hồi theo phương ngang được thể hiện ở mục 3.2.2.2 TCVN 9386:2012.

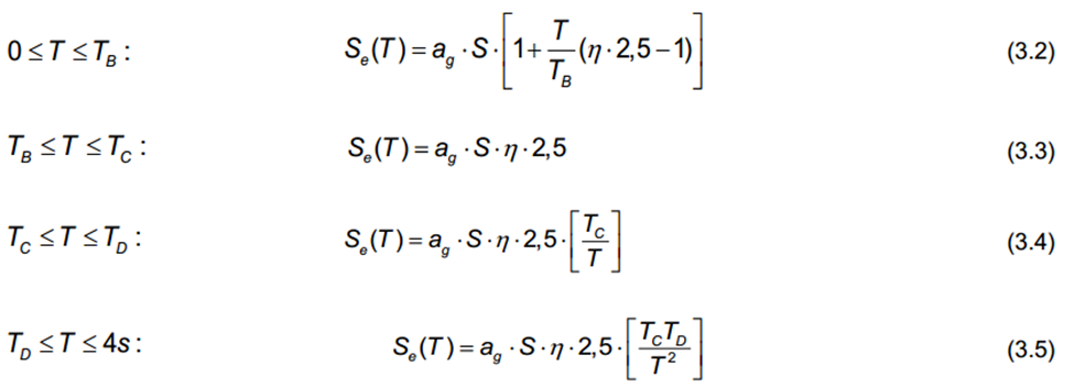
Với các thành phần ngang của tác động động đất, phổ phản ứng đàn hồi Se(T) được xác định bằng các công thức sau:

trong đó:

     Se(T) là phổ phản ứng đàn hồi;

     T là chu kỳ dao động của hệ tuyến tính một bậc tự do;

     ag là gia tốc nền thiết kế trên nền loại A;

     TB là giới hạn dưới của chu kỳ, ứng với đoạn nằm ngang của phổ phản ứng gia tốc;

     TC là giới hạn trên của chu kỳ, ứng với đoạn nằm ngang của phổ phản ứng gia tốc;

     TD là giá trị xác định điểm bắt đâu của phân phản ứng chuyển vị không đổi trong phổ phản ứng;

     S là hệ số nền;

     η là hệ số điều chỉnh độ cản với giá trị tham chiếu η = 1 đối với độ cản nhớt 5%,

Giá trị của chu kỳ TB, TC và TD và của hệ số nền S mô tả dạng phổ phản ứng đàn hồi phụ thuộc vào loại nền đất.

Hình dạng phổ phản ứng đàn hồi như sau:

Phổ phản ứng chuyển vị đàn hồi SDe(T) nhận được bằng cách biến đổi trực tiếp phổ phản ứng gia tốc đàn hồi Se(T) theo biểu thức sau:

Đối với các chu kỳ nhỏ hơn chu kỳ khống chế TE, các giá trị tung độ phổ xác định từ các biểu thức (3.2) đến (3.5), chuyển từ Se(T) sang SDe(T) qua biểu thức (3.7). Đối với các chu kỳ dao động lớn hơn TE thì các tung độ của phổ phản ứng chuyển vị đàn hồi được xác định từ các biểu thức (A.1) và (A2).

Trong đó:

     S, TC, TD nêu trong các Bảng 3.2 và 3.3, η được tính theo biểu thức (3.6) và dg được tính theo biểu thức (3.12). Các chu kỳ khống chế TE và TF được nêu trong Bảng A.1.

2. File tính

Các bạn vui lòng tải file PDF mẫu “Phổ phản ứng đàn hồi theo phương ngang (9386:2025)” tại đây

Download

File tính excel đầy đủ “143. Phổ phản ứng đàn hồi theo phương ngang (9386:2025)”, các bạn vui lòng tải tại đây:

Download