Tải động đất theo phương đứng

Thư viện kết cấu gửi tới các bạn tải động đất theo phương đứng theo TCVN 9386:2025.

1. Phổ phản ứng đàn hồi

Phổ phản ứng đàn hồi theo phương đứng được thể hiện ở mục 3.2.2.3 TCVN 9386:2012.

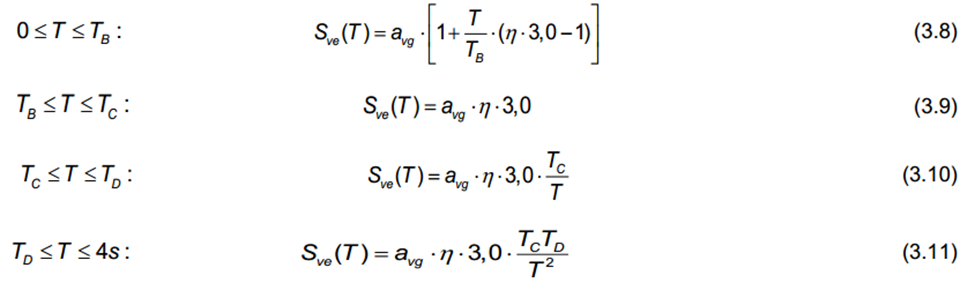
Thành phần thẳng đứng của tác động động đất phải được thể hiện bằng phổ phản ứng đàn hồi, Sve(T), được xác định bằng cách sử dụng các biểu thức từ (3.8) đến (3.11):

trong đó:

     Sve(T) là phổ phản ứng đàn hồi;

     T là chu kỳ dao động của hệ tuyến tính một bậc tự do;

     avg là gia tốc nền thiết kế trên nền loại A;

     TB là giới hạn dưới của chu kỳ, ứng với đoạn nằm ngang của phổ phản ứng gia tốc;

     TC là giới hạn trên của chu kỳ, ứng với đoạn nằm ngang của phổ phản ứng gia tốc;

     TD là giá trị xác định điểm bắt đâu của phân phản ứng chuyển vị không đổi trong phổ phản ứng;

     η là hệ số điều chỉnh độ cản với giá trị tham chiếu η = 1 đối với độ cản nhớt 5%,

2. Phổ thiết kế dùng cho phân tích đàn hồi

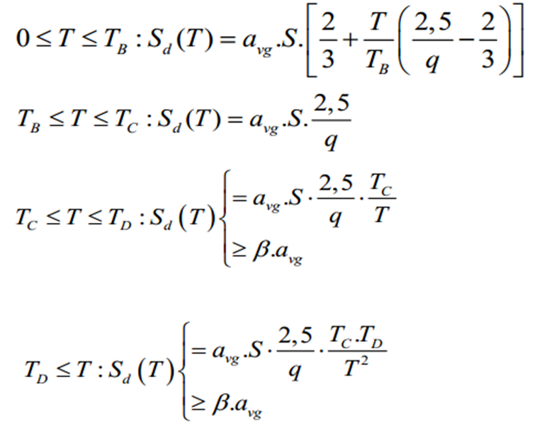
Đối với thành phần theo phương đứng của tác động động đất, phổ thiết kế cho bởi các biểu thức từ (3.13) đến (3.16) với gia tốc nền thiết kế theo phương đứng avg được thay bằng giá trị ag; S lấy bằng 1,0.

trong đó:

     Sd(T) là phổ phản ứng đàn hồi;

     T là chu kỳ dao động của hệ tuyến tính một bậc tự do;

     avg là gia tốc nền thiết kế trên nền loại A;

     TB là giới hạn dưới của chu kỳ, ứng với đoạn nằm ngang của phổ phản ứng gia tốc;

     TC là giới hạn trên của chu kỳ, ứng với đoạn nằm ngang của phổ phản ứng gia tốc;

     TD là giá trị xác định điểm bắt đâu của phân phản ứng chuyển vị không đổi trong phổ phản ứng;

     q là hệ số ứng xử,

     β là hệ số ứng với cận dưới của phổ thiết kế theo phương nằm ngang,

3. File tính

Các bạn vui lòng tải file PDF mẫu “Tải động đất theo phương đứng (9386:2025)” tại đây

Download

File tính excel đầy đủ “144. Tải động đất theo phương đứng (9386:2025)”, các bạn vui lòng tải tại đây:

Download