Khi tính toán tải động đất, giá trị tính toán có phụ thuộc vào thông số loại nền đất và hệ kết cấu.
Tham khảo bài viết về tải động đất tại đây.
Trong bài viết này, Thuvienketcau gửi tới các bạn cách tính các thông số trên.
1. Xác định loại nền đất
Nhận dạng các loại nền đất được thể hiện ở mục 3.1.2 TCVN 9386:2025. Cụ thể như sau:
– Các loại nền đất A, B, C, D, và E được mô tả bằng các mặt cắt địa tầng, các tham số cho trong Bảng 3.1 và được mô tả dưới đây, có thể được sử dụng để kể đến ảnh hưởng của điều kiện nền đất tới tác động động đất. Việc kể đến ảnh hưởng này còn có thể thực hiện bằng cách xem xét thêm ảnh hưởng của địa chất tầng sâu tới tác động động đất.

– Nền đất cần được phân loại theo giá trị của vận tốc sóng cắt trung bình vs,30 (m/s) nếu có giá trị này. Nếu không, có thể dùng giá trị NSPT.
– Vận tốc sóng cắt trung bình, vs,30, được tính toán theo biểu thức sau:

trong đó:
hi, vi là chiều dày (m) và vận tốc sóng cắt (tại mức biến dạng cắt bằng 10-5 hoặc thấp hơn) của lớp thứ i trong tổng số N lớp tồn tại trong 30 m đất trên bề mặt.
Trong các khảo sát địa chất hiện nay, chủ yếu là sử dụng giá trị SPT. Do đó, chúng ta sẽ chủ yếu sử dụng thông số SPT trung bình trong 30m để xác định loại nền đất.
2. Xác định hệ kết cấu
Chúng ta có các hệ kết cấu như sau:
Hệ tường: Hệ kết cấu mà trong đó các tường thẳng (thuộc loại tường kép hoặc không phải tường kép) chịu phần lớn cả tải trọng ngang lẫn tải trọng thẳng đứng, mà khả năng chịu cắt của chúng tại chân đế nhà vượt 65 % khả năng chịu cắt của toàn bộ hệ kết cấu.
Hệ khung: Hệ kết cấu mà trong đó các khung không gian chịu cả tải trọng ngang lẫn tải trọng thẳng đứng mà khả năng chịu cắt của chúng tại chân đế nhà vượt quá 65 % tổng khả năng chịu lực cắt của toàn bộ hệ kết cấu.
Hệ hỗn hợp: Hệ kết cấu mà trong đó khung không gian chịu chủ yếu các tải trọng thẳng đứng khả năng chịu tải trọng ngang được phân bố một phần cho hệ khung và một phần cho các tường chịu lực, tường kép hoặc không phải tường kép.
Hệ hỗn hợp tương đương khung: Hệ kết cấu hỗn hợp mà trong đó khả năng chịu cắt của hệ thống khung tại chân đế nhà lớn hơn 50 % tổng khả năng chịu cắt của toàn bộ hệ kết cấu.
Hệ hỗn hợp tương đương tường: Hệ kết cấu hỗn hợp mà trong đó khả năng chịu cắt của hệ tường tại chân đế của nhà lớn hơn 50 % tổng khả năng chịu cắt của toàn bộ hệ kết cấu.
Hệ kết cấu dễ xoắn: Hệ kết cấu hỗn hợp hoặc hệ tường không có độ cứng chịu xoắn tối thiểu.
Hệ con lắc ngược: Hệ kết cấu mà trong đó ít nhất 50 % khối lượng nằm ở 1/3 chiều cao phía trên của kết cấu, hoặc trong đó sự tiêu tán năng lượng xẩy ra chủ yếu tại chân đế của cấu kiện riêng lẻ.
Ta có thể dựa vào % khả năng chịu cắt của cột và vách để xác định hệ kết cấu của công trình.
3. Xác định hệ số kw
Hệ số kw phản ánh dạng phá hoại thường gặp trong hệ kết cấu có tường và được lấy như sau:
− 1,00 với hệ khung và hệ kết cấu hỗn hợp tương đương khung;
− (1 + α0) /3 <= 1, nhưng không nhỏ hơn 0,5 cho hệ tường, hệ kết cấu hỗn hợp tương đương tường và kết cấu dễ xoắn.
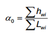
trong đó: α0 là tỷ số kích thước các tường trong hệ kết cấu
Nếu các tỷ số cạnh hwi / Lwi của tất cả các tường thứ i của một hệ kết cấu không khác nhau một cách đáng kể, thì a0 có thể được xác định từ biểu thức sau đây:

trong đó:
hwi là chiều cao tường thứ i;
Lwi là chiều dài của tường thứ i.
3. File tính
Dựa vào các định nghĩa trên, chúng tôi đã lập file tính để xác định loại nền đất và hệ kết cấu và hệ số kw.
Các bạn vui lòng xem file PDF mẫu tại đây:
File tính bản đầy đủ, các bạn tải tại đây:
33A. Xác định loại nền đất
33B. Xác định hệ kết cấu
33C. Xác định hệ số kw
